
The NHS Quality Premium is a financial incentive given to clinical commissioning groups (CCGs) – which commission most of the hospital and community health services in their respective areas in England – that meet or exceed pre-set indicators in health outcome improvement and/or service quality. I was quite intrigued when I learned that antibiotic prescribing was included as an indicator under this initiative in 2015. Specifically, the CCGs had to decrease the amount of antibiotics prescribed in primary care by at least 1%, and broad-spectrum antibiotics (fluoroquinolones, amoxicillin-clavulanate and cephalosporins) by at least 10% relative to 2013/2014. Would this financial incentive work?
The results are now published (behind a paywall) and NHS England has declared this to be success. Specifically, the amount of antibiotic prescribing fell by 3% over the next couple of years, although broad-spectrum antibiotic prescribing was reduced by only 2% overall. I think the great part about these NHS initiatives is that there is considerable data transparency: the results are all available on the NHS website and can be downloaded for analysis by anyone.

Early release version of the analysis performed by Imperial College investigators, in the Journal of Antimicrobial Chemotherapy
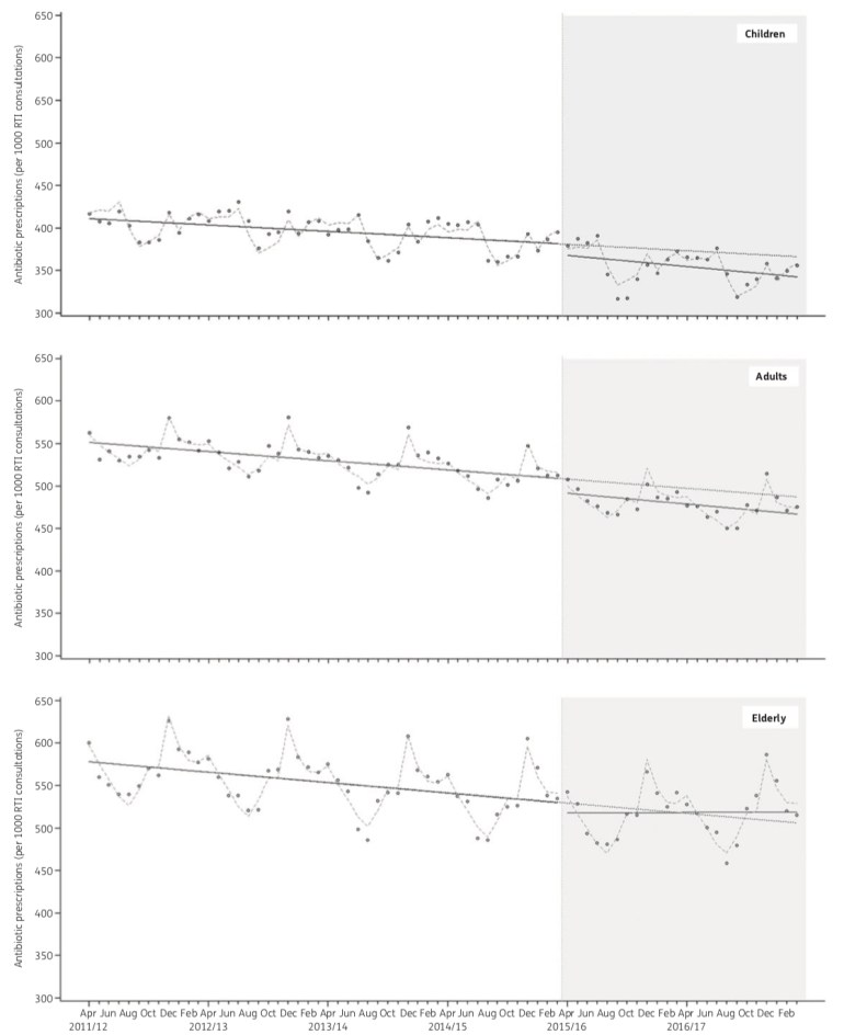
However, when I had a look at the actual graphs, it was clear that antibiotic prescribing trends in primary care in England had been declining since 2011. There was a greater dip in 2015/2016 that corresponded to the introduction of the Quality Premium indicator, but there was some suggestion of a regression to the mean by 2016/2017.

Screenshot of the charts in the JAC paper (1)
The authors stratified the results by age group (children <16 years, adults, and elderly >64 years), and it became clear that the decline in antibiotic prescribing was largely among children, whereas the trend reversed somewhat for the elderly.

Screenshot of the JAC paper (2)
All in all, promising results but it might be a little bit early to attribute success at this stage. The sustainability of the intervention is important and should be evaluated further down the road. Unfortunately, this does not seem to be an intervention that is useful in Singapore (the majority of primary healthcare is delivered by the private sector), but the availability of data for analysis is something we should strive to improve on.